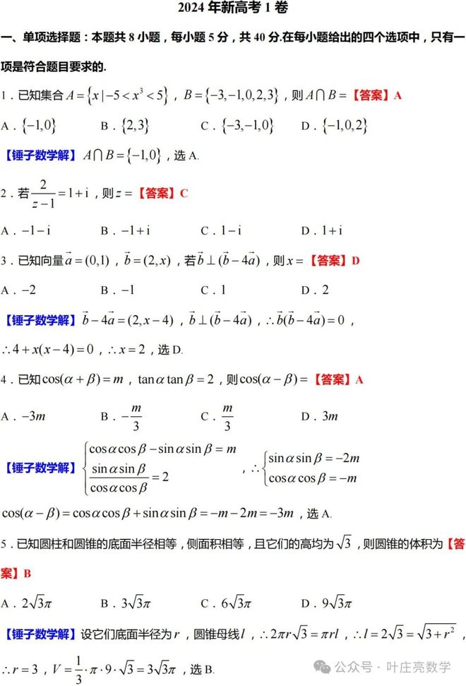
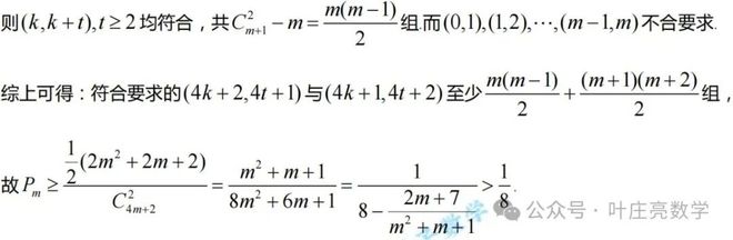
正文

高考数学卷难度平缓,题型分布类似江苏老高考,逐题点评来了

admin